Infecciones virales, disfunción epitelial y resistencia a corticosteroides en el asma: un puente entre los endotipos T1 y T2

Artículos: Type 1 Immune Responses Related to Viral Infection Influence [...]

Por |2026-01-19T09:40:26+01:0019 de enero de 2026|Resumen de artículo|Comentarios desactivados en Infecciones virales, disfunción epitelial y resistencia a corticosteroides en el asma: un puente entre los endotipos T1 y T2

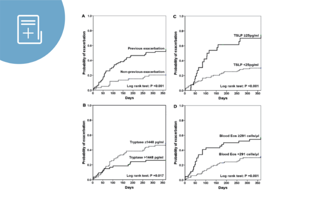
Tezepelumab puede restaurar la función pulmonar normal en pacientes con asma grave no controlada

Artículo: Tezepelumab can Restore Normal Lung Function in Patients with [...]

Por |2025-10-03T13:16:40+02:003 de octubre de 2025|Resumen de artículo|Comentarios desactivados en Tezepelumab puede restaurar la función pulmonar normal en pacientes con asma grave no controlada

Señal de resonancia magnética T2W de la pared bronquial como nuevo biomarcador de imagen del asma grave

Artículo: Bronchial wall T2w MRI signal as a new imaging [...]

Por |2025-07-08T12:38:55+02:008 de julio de 2025|Resumen de artículo|Comentarios desactivados en Señal de resonancia magnética T2W de la pared bronquial como nuevo biomarcador de imagen del asma grave

Circuitos transcripcionales distintos entre células epiteliales e inmunidad innata subyacen a la hiperreactividad de las vías respiratorias en el asma

Artículo: Distinct Epithelial-Innate Immune Cell Transcriptional Circuits Underlie Airway Hyperresponsiveness [...]

Por |2025-10-03T12:59:32+02:008 de julio de 2025|Resumen de artículo|Comentarios desactivados en Circuitos transcripcionales distintos entre células epiteliales e inmunidad innata subyacen a la hiperreactividad de las vías respiratorias en el asma

Nuevos conocimientos sobre los mecanismos de la enfermedad respiratoria exacerbada por la aspirina

Artículo: New insights into the mechanisms of aspirin-exacerbated respiratory disease [...]

Por |2025-06-04T09:12:15+02:004 de junio de 2025|Resumen de artículo|Comentarios desactivados en Nuevos conocimientos sobre los mecanismos de la enfermedad respiratoria exacerbada por la aspirina

La TL1A es una alarmina epitelial que coopera con la IL-33 en el inicio de la inflamación alérgica de las vías respiratorias

Artículo Schmitt P, Duval A, Camus M, et al. TL1A [...]

Por |2025-04-15T01:27:28+02:0030 de enero de 2025|Resumen de artículo|Comentarios desactivados en La TL1A es una alarmina epitelial que coopera con la IL-33 en el inicio de la inflamación alérgica de las vías respiratorias
Ir a Arriba